产品名称:低聚双氨基硅烷体系
产品编号:EB1146
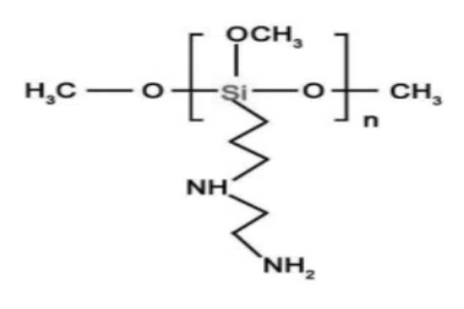
结构式:

参数 | 标准指标 |
含量%(以SiO2计) | 41.0-45.0 |
粘度25℃,mPa.s | 30-80 |
密度25℃ | 1.0400-1.0800 |
折光率(nD 25°C) | 1.4350-1.4550 |
EB1146是一种共聚型低聚双氨基/烷基硅烷,作为粘结力促进剂,被广泛地应用于各种领域。疏水性的EB1146 双氨基功能型硅烷可用于涂料、胶粘剂和密封剂等行业,提高具有氨基反应活性的树脂与无机表面、塑料表面和无机填料间的粘结力,这些树脂包括,室温硫化(RTV)硅橡胶,双组份聚氨酯,有机硅改性聚氨酯,硅烷改性(MS)树脂和双组份环氧树脂。EB1146 的特点就是随机贡献的线性和环形的低聚硅氧烷,并且符合经济合作发展组织(OECD)对于聚合物树脂的定义。产品的挥发性和粘度低,使得复合工艺更简便。EB1146 所产生的副产物(VOC)显著降低,同时在应用过程中产生的异味少。
由于其独特的低聚性结构,EB1146 在一些粘结性质较差的基材表面表现出极佳的润湿性和化学键合性,同时具有很好的耐候和耐潮性。双氨基官能团提供了与具有氨基反应活性的树脂的反应位,同时烷基功能团带来了疏水性。其在有机硅改性聚氨酯或MS 树脂的胶粘剂和密封剂中的使用为产品带来诸多优点:在无机基材(如,混凝土,铝材)和有机基材(如,PVC)间卓越的湿粘结性能,改善拉伸强度和模量,在高弹性产品配方中不泛黄,无瑕疵。
贮运:
应贮存于通风干燥环境中,密封瓶盖,防止受潮(严禁与酸类、易燃物、还原剂等储存)。
塑料桶装,净重25kg/200kg.
本产品信息以及所有技术建议都基于我们现有的经验和知识水平。我方对此不承担任何法律责任,包括已知的第三方知识产权。尤其是在法律意义上不对产品性质做任何担保或保证。我方保留因技术进步或进一步发展对本产品信息带来的任何变动的权力。客户自行对产品进行认真地测试和检测。本文对产品性质的描述也应由客户通过专业人士进行测试验证。其它公司所使用的参考牌号概不作为推荐也不排斥相似产品的可用性。